多宝网页版登录入口_多宝(中国) | PRODUCTS
联系我们 | CONTACT US
- 销售热线:0632-5113088
- 销售热线:0632-5113088
您所在的位置首页 >>
多宝网页版登录入口_多宝(中国) >>
有机膦系列阻垢缓蚀剂、螯合剂 >>
二乙烯三胺五甲叉膦酸钠 DTPMP·Na2多宝网页版登录入口_多宝(中国)
二乙烯三胺五甲叉膦酸钠 DTPMP·Na2
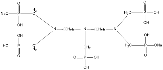
Sodium salt of Diethylene Triamine Penta (Methylene Phosphonic Acid) (DTPMP·Na2)
CAS No.22042-96-2 分子式 C9H26O15N3P5Na2
结构式
一、性能与用途
DTPMP·Na2由DTPMP的不同形式钠盐组成,DTPMP·Na2可用作阻垢剂、高效螯合剂、优良的BaSO4阻垢剂,广泛用于冷却水处理、过氧化物漂白的稳定剂、洗涤助剂、市政工业清洁用水、地热水处理、油田阻垢。
二、技术指标
| 项 目 | 指 标 |
| 外 观 | 红棕色透明液体 |
| 活性组分(以DTPMPA计)/% | 45.0~49.0 |
| 总磷(以PO43-计)/% | 37.0~40.0 |
| pH值(1%水溶液) | 2.0~3.0 |
| 密度(20℃)/g·cm-3 | 1.37~1.47 |
| 氯化物 (以Cl-计) /% | ≤5.0 |
| Fe含量(以Fe计) /mg·L-1 | ≤20.0 |
三、包装与贮存
DTPMP·Na2用塑料桶包装,每桶30kg 或250kg,也可根据用户需要确定。贮于室内阴凉处,贮存期十个月。
四、安全防护
DTPMP·Na2为弱酸性,操作时注意劳动保护,应避免与皮肤、眼睛等接触,接触后用大量清水冲洗。
销售热线:0632-5113088 销售传真: 0632-5113155
地址:山东省枣庄市市中区十里泉东路1号 网址:http://www.led4usa.com E-mail:th@thwater.com
版权所有© :2006-2021 多宝网页版登录入口_多宝(中国) 鲁ICP备09091669号-43
地址:山东省枣庄市市中区十里泉东路1号 网址:http://www.led4usa.com E-mail:th@thwater.com
版权所有© :2006-2021 多宝网页版登录入口_多宝(中国) 鲁ICP备09091669号-43


