多宝网页版登录入口_多宝(中国) | PRODUCTS
联系我们 | CONTACT US
- 销售热线:0632-5113088
- 销售热线:0632-5113066
您所在的位置首页 >>
多宝网页版登录入口_多宝(中国) >>
有机膦系列阻垢缓蚀剂、螯合剂 >>
BHMTPMPA
多宝网页版登录入口_多宝(中国)
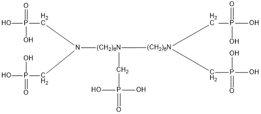
双1,6-亚己基三胺五甲叉膦酸BHMTPMPA
Bis(Hexamethylene Triamine Penta (Methylene Phosphonic Acid))BHMTPMPA
CAS No. 34690-00-1
分子式 C17H44O15N3P5 相对分子质量:685
一、性能与用途:
BHMTPMPA是高效的螯合型阻垢剂,对碳酸盐垢和硫酸盐垢具有良好的阻垢效果。 BHMTPMPA在较宽的PH范围和120℃高温下有极佳的水溶性和热稳定性,对钙离子容忍度高。BHMTPMPA用作油田水处理的缓蚀阻垢剂,工业循环冷却水和锅炉水的阻垢缓蚀剂。
二、技术指标 符合HG/T 22591-2008
| 项 目 | 指 标 |
| GB/T 22591-2008 | |
| 外 观 | 深琥珀色液体 |
| 活性组分/% | 45.0~50.0 |
| 亚磷酸(以PO33-计)/% | ≤3.5 |
| 氯化物(以Cl-计)/% | ≤6.0 |
| pH(1%水溶液) | ≤2.0 |
| 密度(20℃) /g·cm-3 | ≥1.20 |
| Fe含量(以Fe计) /mg·L-1 | ≤35.0 |
三、使用方法
单独使用或与聚羧酸型阻垢分散剂配合使用。
四、包装与贮存
BHMTPMPA用塑料桶包装,每桶25kg或根据用户需要确定。BHMTPMPA贮于室内阴凉处,贮存期为十二个月。
五、安全防护
BHMTPMPA为酸性,操作时注意劳动保护,应避免与皮肤、眼睛等接触,接触后用大量清水冲洗。
相关推荐:
BHMTPMPA
销售热线:0632-5113088 销售传真: 0632-5113155
地址:山东省枣庄市市中区十里泉东路1号 网址:http://www.led4usa.com E-mail:th@thwater.com
版权所有© :2006-2021 多宝网页版登录入口_多宝(中国) 鲁ICP备09091669号-43
地址:山东省枣庄市市中区十里泉东路1号 网址:http://www.led4usa.com E-mail:th@thwater.com
版权所有© :2006-2021 多宝网页版登录入口_多宝(中国) 鲁ICP备09091669号-43


